The outer cover and the absorbent inner core of The Honest Co. Acrylic-based Capstock Polymer.
Organic

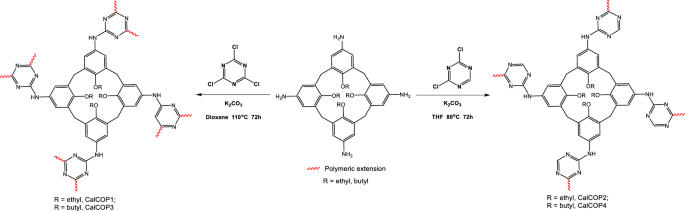
Facile One Pot Synthesis Of A Porphyrin Based Hydrophilic Porous Organic Polymer And Application As Recyclable Absorbent For Selective Separation Of Methylene Blue Sciencedirect

Processes Free Full Text Organic Polymers As Porogenic Structure Matrices For Mesoporous Alumina And Magnesia Html
The Full Cellulose Lowdown.

Synthetic absorbent for organic polymer. Everything Old Is New Again. Super-absorbent materials such as those in diapers. Linen is one of the worlds oldest textile fibers.
Alginate biopolymer applications range from packaging textile and food industry to biomedical and chemical engineering. In her book Waste and Want. The liquid absorbed can be water or an organic liquid.
Hydrogels are three-dimensional natural or synthetic polymer that can absorb a lot of water or bio-fluids without dissolving. Alginate is the most copious marine natural polymer derived from brown seaweed. A Social History of Trash Susan Strasser a professor of history at the University of Delaware traces the progressive obsolescence of clothing and other consumer goods to the 1920sBefore then and especially during World War I most clothing was repaired mended or tailored to fit other family members or recycled within the.
Fewer studies have been done on highly concentrated solution polymerization of acrylic monomers which are mostly patented Chen produced acrylic acid-sodium acrylate superabsorbent through concentrated 436 wt. Due to the intrinsic crosslinking the structural integrity of the hydrogel network does not decompose at high water concentrations. The swelling ratio of a superabsorbent polymer can reach the order of 10001.
Polymer that can absorb and retain extremely large amounts of a liquid relative to its own mass. ACUMER Scale Inhibitors and Dispersants. Forensics is a Division C chemistry event that involves the identification of powders polymers fibers and hair samples blood serum and fingerprint analysis and interpretation of chromatography.
These tests along with other evidence or test results will be used to solve a crime. Lithium is utilized to a considerable extent in organic synthesis both in laboratory reactions and industrially. Theyre designed to be breathable absorbent and comfortable.
ACUDYNE Hair Styling Polymers. Our products range from easy to use granular absorbents all-in-one spill kits and absorbent mats to suit any spill type including chemical and oil-only spills. ACULYN Rheology Modifiers.
Graphene derivatives eg graphene oxide GO have been incorporated in hydrogels to improve the properties eg mechanical strength of conventional hydrogels andor. Some attention is given to an examination of the potential health effects related to the use of these adsorbents but detailed toxicological. Pads are both made from organic cotton.
A key reagent that is produced commercially on a large scale is n-butyllithium C 4 H 9 Li. The fibers are much stronger and more lustrous than cotton. This chapter contains the findings of the Subcommittee on Adsorption of the National Research Councils Safe Drinking Water Committee which studied the efficacy of granular activated carbon GAC and related adsorbents in the treatment of drinking water.
A fabric made from fibers obtained from inside the woody stem of the flax plant. Cyclohexanone also known as oxocyclohexane pimelic ketone ketohexamethylene cyclohexyl ketone or ketocyclohexane is a six-carbon cyclic molecule with a ketone functional groupIt is a colorless oily liquid with an acetone-like smell. While most waterproof crib mattresses use synthetic materials like plastic this one has a wipe-clean fabric made of non-GMO food-grade sugarcane.
Synthetic polymers are ubiquitous in the 21st century with such engineered materials exhibiting unique properties and enabling novel applications relative to traditional materials. GENERAL INFORMATION Phone. Preparation of hydrogel based on acrylamide acrylic acid and its salts by inverse-suspension polymerization and diluted solution polymerization have been investigated elsewhere.
Its principal commercial use is as an initiator of polymerization for example in. Sealers cure to a variety of finishes including wet or high. Linen fabrics are very cool and absorbent but wrinkle very easily unless blended with manufactured fibers.
The manufacture of polyester and other synthetic fabrics is an energy-intensive process requiring large amounts of crude oil and releasing emissions including volatile organic compounds particulate matter and acid gases such as hydrogen chloride all of which can cause or aggravate respiratory disease. AFFINITY Polyolefin Plastomers. Cellulose is a macromolecule made up of anhydroglucose unit connected by 1 4 oxygen bridges with the.
The first ever application of alginate was in the form of wound dressing where its gel-like and absorbent properties were discovered. Purified cotton is exempt from OSHA cotton dust standards. ADCOTE Solvent-Borne Adhesives and Coatings.
The waterproof backing is made from plant-based materials that phthalate free and the pads have wings to. Naturepedic manufactures mattresses for all age groups but their Organic Ultra 2-Stage Crib Mattress for infants and toddlers has features that specifically appeal to parents. Each of the other polymers.
Cotton like rayon and wood pulp fibers is made of cellulose. Superabsorbent polymers for water are frequently polyelectrolytes. ACRYSOL Rheology Modifiers and Thickeners.
402-346-3363 Score your Deal Omaha Phone. The best paver sealers help lock stones in place limit erosion inside joints repel stains and keep the pavers looking their best. PAA are a super absorbent material and are used in diapers.
Given a scenario and some possible suspects students will perform a series of tests. Bulletproof materials in lightweight vests. The Merck Index - An.
1-877-531-3216 Newspaper delivery. ACUSOL Rheology Modifiers and Dispersants. All-natural organic and sustainable SpillFix is a super effective granular spill absorbent and a product you can feel good about.
A polymer is a long strand of. Upgrade to Premium to enroll in. In organic synthesis as the diene in Diels-Alder reaction producing sesquiterpenes synthetic alkaloids camphors.

Opportunities Of Porous Organic Polymers For Radionuclide Sequestration Trends In Chemistry

Polymers Free Full Text Highly Porous Organic Polymers For Hydrogen Fuel Storage Html

Ag Doped Into Azo Linked Conjugated Microporous Polymer For Volatile Iodine Capture And Detection Of Heavy Metal Ions Scientific Reports

Functional Porous Organic Polymers For Heterogeneous Catalysis Chemical Society Reviews Rsc Publishing Doi 10 1039 C1cs15227k

Triazine Based Covalent Organic Polycalix 4 Arenes For Highly Efficient And Reversible Iodine Capture In Water Springerlink

A Cationic Porous Organic Polymer For High Capacity Fast And Selective Capture Of Anionic Pollutants Sciencedirect

An Overview Of Synthetic Modification Of Nitrile Group In Polymers And Applications Sruthi 2020 Journal Of Polymer Science Wiley Online Library

Functional Porous Organic Polymers For Heterogeneous Catalysis Chemical Society Reviews Rsc Publishing Doi 10 1039 C1cs15227k